2020Ä꣬FDA¹²Åú×¼53¿îÐÂÒ©£¬Åú×¼ÐÂÒ©ÊýÄ¿ÔÚ½ü10ÄêÀïλ¾ÓµÚ¶þ¡£
ËäÈ»£¬ÒßÇé¶Ô¸÷¼Ò¹«Ë¾µÄÒ©Î↑·¢ÍýÏ뱬·¢½Ï´óÓ°Ï죬Ҳ¶Ô¸÷¹úÕþ¸®î¿Ïµ»ú¹¹µÄÒ»Ñùƽ³£ÔËÐÐÔì³ÉÁ˹¥»÷£¬¿ÉÊÇFDAÔÚ2020ÄêµÄÒ©Æ·ÉóÅúËÙÂÊË¿ºÁûÓзŻº£¬Ð¡·Ö×ÓÐÂÒ©¸üÊÇÒÔ38¸öÅú×¼Êý£¬³ÉΪÁË¡°»ñÅúй󡱡£

´Ó¼²²¡ÁìÓòÀ´¿´£¬2020ÄêFDAÅú×¼µÄÐÂÒ©ÈÔÒÔÖ×ÁöÒ©¾Ó¶à£¬Õ¼±È34%£¨18/53£©£¬ÆäËûÕ¼½ÏÁ¿¸ßµÄ¼²²¡ÁìÓò»¹°üÀ¨Éñ¾£¨15%£¬8/53£©¡¢ÄÚÉøÍ¸´úл£¨9%£¬5/53£©¡¢Õï¶ÏÊÔ¼Á£¨7%£¬4/53£©¡¢Ñ¬È¾ÐÔ¼²²¡£¨7%£¬4/53£©¡£

´ÓÒ©Îï¼ÁÐÍÀ´¿´£¬2020ÄêFDAÅú×¼µÄÐÂÒ©ÖÐ×¢Éä¼Á×î¶à£¬Õ¼±È50%£¨26/53£©£¬Æä´ÎÊÇͨË׿ڷþƬ¼ÁºÍ½ºÄÒ¼Á¡£

´ÓÉóÆÀ·½·¨ÉÏ¿´£¬½ñÄê¹²ÓÐ26¸öÐÂÒ©ÊÇÒÔ¡°ÓÅÏÈÉóÆÀ¡±µÄ·½·¨»ñµÃFDAÅú×¼ÉÏÊУ¬ÆäÖаüÀ¨23¸öС·Ö×ÓʵÌåºÍ3¸öÐÂÉúÎïÖÆÆ·¡£ÓÐ31¸öÆ·ÖÖ±»FDAÊÚÓè¡°¹Â¶ùÒ©¡±×ʸñ£¬Õ¼ËùÓлñÅúÐÂÒ©µÄ58%¡£

2020ÄêFDA»ñÅúµÄÐÂÒ©ÖУ¬ÓÐ9¿îÊôÓÚFirst-in-classÒ©ÎÏêϸƷÖÖÈçÏ£º

ÖµµÃÒ»ÌáµÄÊÇ£¬FDA»ñÅúÉÏÊеÄ53¿îÐÂÒ©ÖÐÓÐ38¸öÊÇС·Ö×ÓÒ©Îï½á¹¹£¬Õ¼±È³¬70%¡£

1£¬Avapritinib (BLU-285) °¢·¥ÆÕÀûÄá
Avapritinib (BLU-285)ÊÇÒ»ÖÖС·Ö×Ó¼¤Ã¸ÒÖÖÆ¼Á£¬¿ÉÓÐÓÃÒÖÖÆPDGFR¦Á D842VÍ»±äÌåµÄ»îÐÔ¡¢ÔÚϸ°ûÅä¾°ÏÂÒÖÖÆPDGFR¦Á D842V×ÔÎÒÁ×Ëữ£¨IC50=30 nM£©£»Í¬Ê±Ò²ÊÇKITÍ»±ä£¨KIT D816V£©µÄÒÖÖÆ¼Á£¨IC50=0.5 nM£©¡£

2£¬Tazemetostat (EPZ-6438)
Tazverik(tazemetostat) (EPZ-6438) ÊÇ×éÂѰ×Àµ°±Ëá¼×»ù×ªÒÆÃ¸£¨Histone-Lysine N-methyltransferase£©EZH2µÄÒÖÖÆ¼Á¡£

3£¬Pizensy(ÈéÌÇ´¼)
PizensyÊÇÒ»ÖÖ¿Ú·þµÄÈé¹ûÌÇÀàËÆÎï¡£ËüÊÇÒ»ÖÖÉøÍ¸ÐÔкҩ£¨osmotic laxitaive£©£¬¿ÉÔö½øË®·ÖÁ÷È볦µÀ£¬½ø¶øÔڽ᳦ÄÚµÖ´ïͨ±ã×÷Óá£

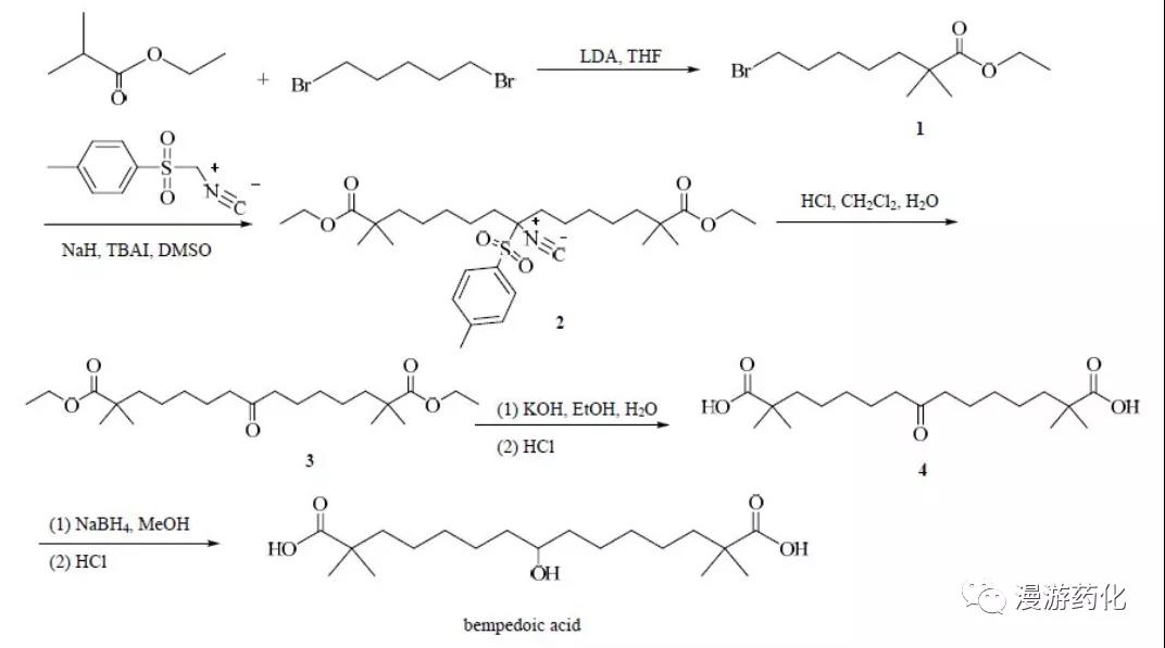
4£¬Nexletol (bempedoic acid)
bempedoic acidÓÉÃÀ¹úEsperion Therapeutic ¹«Ë¾Ñз¢£¬ÊÇÒ»ÖÖÖÎÁÆÑªÖ¬Òì³£¼°½µµÍÆäËûÐÄѪ¹Ü¼²²¡Î£º¦µÄÐÂÐÍС·Ö×Ó»¯ºÏÎï¡£


5£¬Barhemsys(°±»Ç±ØÀû)
°±»Ç±ØÀûÊÇÒ»¸ö¶à°Í°·D2ºÍD3ÊÜÌå×è¶Ï¼Á£¬ÉÏÊÀ¼Í80ÄêÔÂ×îÏÈÓ¦ÓÃÓÚ¾«ÉñÆÆËéÖ¢ÖÎÁÆ¡£

6£¬Nurtec ODT£¨rimegepant£©
Biohaven¹«Ë¾µÄ¿Ú·þCGRPÒÖÖÆ¼Árimegepant£¬ÓÃÓÚ³ÉÈËÆ«Í·Í´µÄ¼±ÐÔÖÎÁÆ¡£

7£¬Isturisa(osilodrostat)
3ÔÂ6ÈÕ£¬FDAÅú×¼¿âÐÀ×ÛºÏÕ÷£¨Cushing syndrome£¬CS£©Ò»ÏßÓÃÒ©OsilodrostatÉÏÊУ¬ÉÌÆ·Ãû£ºIsturisa£¬»¼ÕßÎÞÂÛÊÇ·ñ½ÓÊÜÊܹý´¹ÌåÇгýÊÖÊõÖÎÁÆ£¬¶¼¿ÉÓ¦ÓÃOsilodrostat×÷ΪÖÎÁÆÒ©Îï¡£OsilodrostatÊÇFDAÅú×¼µÄÊ׸ö11-¦ÂôÇ»¯Ã¸ÒÖÖÆ£¬¿ÉÖ±½Ó×è¶ÏÉöÉÏÏÙÆ¤ÖÊ´¼ºÏ³É¡£

8£¬Zeposia(ozanimod)
ozanimod£¨ÉÌÆ·ÃûZEPOSIA£©£¬ÓÃÓÚ³ÉÈ˸´·¢ÐÔMS£¨RRMS£©»¼ÕßµÄÖÎÁÆ¡£

9£¬Selumetinib£¨Ë¾ÃÀÌæÄᣩ
Selumetinib £¨Ë¾ÃÀÌæÄᣩ£¨ARRY-142886 ; AZD6244£©ÊÇÒ»ÖÖMEK 1/2ÒÖÖÆ¼ÁºÍDZÔÚµÄÐÂÒ©£¬ÓÉAlstraZenecaÓÚ2003Äê»ñµÃArray BioPharma Inc.µÄÔÊÐí¡£°¢Ë¹Àû¿µºÍMSDÓÚ2017ÄêÇ©ÊðÁËselumetinibµÄÅäºÏ¿ª·¢ºÍÍŽáÉÌÒµ»¯ÐÒé¡£

10£¬Tukysa(Tucatinib)
Tukysa£¨Tucatinib£©Í׿¨ÌæÄá /ͼ¿¨ÌæÄá (ONT-380)ÊÇÒ»ÖÖ¿Ú·þTKI(ÀÒ°±Ëἤø)ÒÖÖÆ¼Á£¬¶ÔHER2¾ßÓи߶ÈÌØÒìÐÔ£¬µ«¶ÔͬÊôÈË±íÆ¤Éú³¤Òò×ÓÊÜÌå¼Ò×åµÄEGFRûÓÐÏÔ×ÅÒÖÖÆ×÷Óá£

11£¬Pemigatinib £¨ÅÁÃ×¼ÓÌæÄᣩ
Pemigatinib£¨INCB054828£©ÊÇÒ»ÖÖ¿Ú·þÓÐÓõģ¬Ñ¡ÔñÐÔFGFRÒÖÖÆ¼Á£¬Ëü¶ÔFGFR1£¬FGFR2£¬FGFR3£¬FGFR4µÄIC50Öµ»®·ÖΪ0.4 nM£¬0.5 nM£¬1.2 nMºÍ30 nM¡£

12£¬Ongentys(opicapone)

13£¬INCB28060 (Capmatinib) ¿¨ÂíÌæÄ᣻±½ÔúÃ×ÌØ
INCB28060ÊÇÒ»ÖÖÐÂÐÍ£¬ ATP¾ºÕùÐÔµÄc-METÒÖÖÆ¼Á£¬IC50Ϊ0.13 nM£¬ÒÖÖÆRON¦Â£¬ EGFRºÍHER-3»îÐÔ¡£

14£¬Selpercatinib (LOXO-292) Èû¶ûÅÁÌæÄá
Selpercatinib£¨LOXO-292£©ÊÇÒ»ÖÖÓÐÓõģ¬ÌØÒìÐÔRETÒÖÖÆ¼Á¡£

15£¬Ripretinib ÈðÆÕÌæÄá
Ripretinib£¨DCC-2618£©ÊÇÒ»ÖÖ¾ßÓпڷþ»îÐԵģ¬Ñ¡ÔñÐÔµÄKITºÍPDGFR-alphaÒÖÖÆ¼Á¡£

16£¬ Cerianna (fluoroestradiol F18)

17£¬Artesunate£¨ÇàÝïçúõ¥£©
ÇàÝïçúõ¥ÊÇÒ»Àà¿ØÖÆÅ±¼²Ö¢×´µÄ¿¹Å±Ò©¡£

18£¬Tauvid£¨flortaucipir F18£©
Tauvid£¨flortaucipir F18£©ÊǵÚÒ»ÖÖ»ñµÃFDAÅú×¼£¬×ÊÖú¶Ô´óÄÔÖеÄtau²¡Àí¾ÙÐгÉÏñµÄÒ©Îï¡£TauvidÊÇÒ»ÖÖ·ÅÉäÐÔÕï¶ÏÊÔ¼Á£¬ÓÃÓÚÐèÒª½ÓÊܰ¢¶û´Äº£Ä¬²¡ÆÀ¹ÀµÄÈÏÖªÕϰ³ÉÈË»¼Õß¡£

19£¬Lurbinectedin£¨Â¬±È¿ËÌæ¶¨£©
lurbinectedinÊÇPharmaMarÑз¢µÄº£ÇÊËØÑÜÉúÎΪÖ×ÁöÁ¢ÒìÒ©¡£ÏÖÔÚ£¬ÂÌÒ¶ÖÆÒ©ÓëPharmaMarÔÚ»ªºÏ×÷ÅäºÏ¿ª·¢¸ÃÒ©Îï¡£

20£¬Dojolvi£¨triheptanoin£©Èý¸ýËá¸ÊÓÍõ¥
Dojolvi£¨triheptanoin£©Èý¸ýËá¸ÊÓÍõ¥£¬ÊÇÒ»Öָߴ¿¶È¡¢È˹¤ºÏ³ÉµÄ7̼֬·¾Ëá¸ÊÓÍÈýõ¥£¬ÔÚ¸ÊÓ͹ǼÜÉÏͨ¹ý¶à¸ö»¯Ñ§ºÏ³É°ì·¨Ìí¼ÓÁËÈý¸ö7̼֬·¾ËáÐγɡ£×¨ÃÅΪLC-FAOD»¼ÕßÌṩÖÐÁ´¡¢ÆæÊý̼֬·¾Ëá×÷ΪÄÜÔ´ºÍ´úл²úÆ·Ìæ»»Æ·¡£

21£¬Fostemsavir(BMS-663068)
Fostemsavir (BMS-663068) ÊÇ BMS-626529 µÄÔÒ©£¬ÄÜÍŽágp120£¬ÒÖÖÆ HIV-1 Óëϸ°û CD4 ÊÜÌåµÄÍŽᡣ

22£¬Byfavo£¨Remimazolam£©ÈðÃ×ßòÂØ/À×Ã×ÂíßòÂØ
Byfavo£¨Remimazolam£©ÈðÃ×ßòÂØ/À×Ã×ÂíßòÂØ ÊÇÒ»ÖÖÆðЧºÍʧЧѸËٵľ²Âö×¢Éä±½¶þµª×¿£¨benzodiazepine£©Õò¾²¼Á¡£¿ÉÓÃÓÚÔÚʱ³¤²»Áè¼Ý30·ÖÖÓµÄÓд´Ò½ÁƳÌÐòÖУ¬ÀýÈç½á³¦¾µ¼ì²éºÍÖ§Æø¹Ü¾µ¼ì²é¡£

23£¬Inqovi(cedazuridine+µØÎ÷Ëû±õ)
Inqovi£¨cedazuridine/decitabine[µØÎ÷Ëû±õ]£¬¿Ú·þC-DEC£¬ASTX727£©£¬¸ÃÒ©ÓÃÓÚ¹ÇËèÔöÉúÒì³£×ÛºÏÖ¢£¨MDS£©ºÍÂýÐÔ¹ÇËèµ¥ºËϸ°û°×Ѫ²¡£¨CMML£©³ÉÈË»¼ÕßµÄÖÎÁÆ¡£

24£¬Xeglyze(Abametapir)
Xeglyze£¨Abametapir£©0.74£¥ Ï´»¤¼Á ÊÇÒ»ÖÖ½ðÊôÂѰ×øÒÖÖÆ¼Á£¬½ðÊôÂѰ×øÊǶԳæÂÑ·¢ÓýºÍÈô³æºÍ³É³æÊ×Ó´æ»î£¬ÖÁ¹ØÖ÷ÒªµÄÐÄÀíÀú³ÌËù±ØÐèµÄø¡£

25£¬Nifurtimox (Synonyms: Ïõß»ÌæÄª)
Nifurtimox ÊÇÒ»ÖÖÓÃÓÚ×¶³æ²¡ (Trypanosoma cruzi) µÄ¿¹³æ¼Á¡£Nifurtimox ÓÐDZÁ¦ÓÃÓÚÉñ¾Ä¸Ï¸°ûÁöϸ°ûµÄÑо¿¡£Nifurtimox Ó°ÏìÈéËáÍÑÇâø (LDH) »îÐÔ¡£

26£¬Olinvyk£¨oliceridine£©
OlinvykµÄ»îÐÔÒ©ÎïÒòËØÎªoliceridine£¬ÕâÊÇÒ»ÖÖÊ×´´µÄ£¨first-in-class£©¾²ÂöÕòÍ´Ò©¡£oliceridineÊÇÊ׸öGÂѰ×Ñ¡ÔñÐÔ¼¤¶¯¼Á£¬Óë¾²Âö×¢ÉäÂð·ÈÏà±È£¬ÕòʹЧ¹û¸üºÃ¡£oliceridineÒԦ̰¢Æ¬ÊÜÌåΪ°Ðµã£¬Í¨¹ýÒ»ÖÖÓÅ»¯×÷ÓûúÖÆ£¨MOA£©£¬ÓÅÏȼÓÈëÈÏÕæÁÆÐ§µÄÐźÅͨ·£¬ïÔÌÒýÆð²»Á¼·´Ó¦µÄÐźÅͨ·µÄ¼¤»î¡£

risdiplamÊÇÖÎÁÆËùÓÐ3ÖÖÀàÐÍSMAµÄÊ׸ö¿Ú·þÒ©Îï¡£

28£¬Winlevi(clascoterone)
Clascoterone£¨ÓÖ³ÆCB-03-01£©ÊÇÒ»ÖÖ¾Ö²¿ÐÛ¼¤ËØÊÜÌ壨AR£©ÒÖÖÆ¼Á£¬¸ÃÐµĻ¯Ñ§ÊµÌåÕýÔÚ¿ª·¢ÖÎÁÆðî´¯£¨Ôݶ¨Æ·ÅÆÃûΪWinlevi£©ºÍÄÐÅ®ÐÔÍÑ·¢£¨Ôݶ¨Æ·ÅÆÃûBreezula£©¡£Æ¾Ö¤ÃÀ¹úFDAÉó²éÆä1%Ũ¶ÈÖÎÁÆðî´¯ÒÔ¼°ºóÆÚ¿ª·¢Æä¸ßŨ¶ÈÈÜÒºÖÎÁÆÄÐÐÔÐÛ¼¤ËØÐÛÐÔÍÑ·¢µÄЧ¹û£¬Æä±»ÒÔΪÊÇÒ»ÖÖ¡°first-in-class¡±Ò©Îï¡£ÖµµÃÒ»ÌáµÄÊÇ£¬ÕâÊǽü40ÄêÀ´Õë¶Ôðî´¯ÖÎÁƵÄÊ׸öлúÖÆÒ©Îï¡£

29£¬Detectnet£¨Cu 64 DOTATATE£©·ÅÉäÐÔÕï¶ÏÊÔ¼Á Í64ÑÎËáÑÎ
DetectnetÊÇÊ׿Cu 64·ÅÉäÐÔÍ¬Î»ËØÓëÉú³¤ÒÖËØÀàËÆÎïDOTATATEżÁªµÄÕï¶ÏÊÔ¼Á¡£

30£¬Pralsetinib ÆÕÀ×Î÷ÌæÄá
Pralsetinib (Blu-667) ÊÇÐÂÒ»´úµÄ£¬¸ßЧµÄ£¬Ñ¡ÔñÐÔRETÒÖÖÆ¼Á£¬¹ØÓÚWT RET£¬RETÍ»±äÌåV804L£¬V804M£¬M918TºÍCCDC6-RETµÄIC50Ϊ0.3-0.4 nM¡£

31£¬ÈðµÂÎ÷Τ£¨Remdesivir£©
2020Äê10ÔÂ22ÈÕ£¬ÃÀ¹úʳÎïÒ©Æ·¹ÜÀí¾Ö£¨FDA£©Åú×¼Á˼ªÏéµÂ¿ÆÑ§µÄ¿¹²¡¶¾Ò©ÎïÈðµÂÎ÷ΤÓÃÓÚÖÎÁÆÐ¹ÚסԺ»¼Õߣ¬³ÉΪÃÀ¹úÊ׸öÕýʽ»ñÅúµÄйÚÖÎÁÆÒ©Îï¡£

32£¬Lonafarnib (Synonyms: Sch66336)
Lonafarnib ÊÇÒ»ÖÖ¿Ú·þÓÐÓõķ¨Äá»ùÂѰ××ªÒÆÃ¸ (FPTase) ÒÖÖÆ¼Á£¬×÷ÓÃÓÚ H-ras£¬K-ras ºÍ N-ras£¬IC50 »®·ÖΪ 1.9 nM£¬5.2 nM ºÍ 2.8 nM¡£Lonafarnib ¾ßÓп¹¸ÎÑ×Èý½ÇÖÞ²¡¶¾ (HDV) µÄ»îÐÔ¡£

33£¬ Imcivree(Setmelanotide)
setmelanotideÊÇÒ»¿îÊ×´´¡¢¹ÑëÄÀàMC4R¼¤¶¯¼Á£¬¿ª·¢ÓÃÓÚÖÎÁÆÓÐÊý·ÊÅÖÒÅ´«ÐÔ¼²²¡¡£

34£¬Gallium 68 PSMA-11

35£¬Orladeyo£¨Berotralstat£©±´ÂÞ˾Ëû
rladeyo£¨Berotralstat£©±´ÂÞ˾Ëû ÊÇÒ»ÖÖÐÂÐÍ¡¢¿Ú·þ¡¢ÖðÈÕ1´Î¡¢Ç¿Ð§¡¢Ñ¡ÔñÐÔÈËѪ½¬¼¤ëÄÊÍ·ÅøÒÖÖÆ¼Á£¬Í¨¹ýÒÖÖÆ¼¤ëÄÊÍ·ÅøÀ´×èÖ¹»º¼¤ëĵÄÌìÉú´Ó¶øÔ¤·ÀË®Ö×±¬·¢¡£Orladeyo £¨berotralstat£©ÓÃÓÚÔ¤·À12Ëê¼°ÒÔÉ϶ùͯºÍ³ÉÈËÒÅ´«ÐÔѪ¹ÜÐÔË®Ö×£¨HAE£©±¬·¢£¬OrladeyoÊÇÊ׸öÔ¤·ÀHAE±¬·¢µÄ¿Ú·þ·ÇçÞÌåÒ©Îï¡£

36£¬Tirbanibulin (Synonyms: KX2-391; KX-01)

37£¬Relugolix Èð¬¸êÀû
Relugolix£¬Ò²³ÆÎªTAK-385£¬ÊÇÒ»ÖÖ¿Ú·þ»îÐԵĻÆÌå¼¤ËØÊͷż¤ËØ£¨LH-RH£©ÊÜÌåÞ׿¹¼Á£¬IC50Ϊ0.12 nM¡£

38, Gemtesa£¨vibegron£©
vibegron¿ÉÖÎÁưòë×Ì«¹ýÔ˶¯Ö¢µ¼ÖÂµÄÆÈÇÐÐÔÄòʧ½û£¬Äò¼±ºÍÄòƵµÈÖ¢×´¡£

±¾ÎIJ¿·ÖÄÚÈÝÔ´×ÔÍøÂç
---------------------------------------------------------------------
Óɴ˿ɼû£¬Ð¡·Ö×ÓÒ©ÎïÑз¢ÒѳÉΪÁ˵±ÏÂÈ«ÇòÒ©ÎïÑз¢µÄÖ÷Á÷Ö®Ò»£¬¶ø333ÌåÓý¹ÙÍøÒ½Ò©ÔÚС·Ö×ÓÒ©ÎïÑз¢ÁìÓòÒàÊÇ·¢Á¦ÔÚ¼´¡£ÔÚÉî¸Û¿Æ¼¼ºÏ×÷ÏÈÐÐÊ÷Ä£ÇøÒªµØÉîÛÚ¸£Ì333ÌåÓý¹ÙÍøÒ½Ò©½¨ÉèÈ«×Ê×Ó¹«Ë¾²©ÈðÒ½Ò©¿Æ¼¼ÓÐÏÞ¹«Ë¾£¬È«Á¦¸³ÄÜ´óÍåÇøÓµÓиüÍêÉÆµÄС·Ö×ÓÒ»Ì廯ÐÂÒ©Ñз¢·þÎñƽ̨ºÍÄÜÁ¦¡£

ÔÁ¹«Íø°²±¸ 44011202001884ºÅ

ÔÁ¹«Íø°²±¸ 44011202001884ºÅ